新聞中心
產品中心
聯系我們
深圳市東么川伺服控制技術有限公司
電話:13316379101
郵箱:1355229533@qq.com
地址:深圳市龍華區民治街道樟坑社區青創城A棟B502
如何計算減速器的速比和扭矩?
發布時間:2020-12-23 09:27:41
很多朋友在選擇減速機時都很迷茫。
一、選擇。
如何根據我需要的扭矩來選擇減速機速比?以下為大家講解。

選擇減速器時,要考慮結構類型、安裝方式、承載能力、輸出速度、工作環境等因素。文中所列減速器的承載力,是在額定轉速、每天工作10小時、每小時起動次數不到10次、平穩無沖擊的情況下計算的。在實際工況與上述條件不符時,需計算實際所需承載力,才能精確選擇出符合其要求的減速器。
二、選擇的步驟如下:一般選擇。
1.確定使用系數(fs)
從下表中根據負載類型、每小時啟動次數和預期工作年限選擇正確的使用系數(fs)

2.計算所用的扭矩(Tc2)
請根據所需的扭矩Tr2求得計算用的扭矩Tc2,其公式為Tc2=Tr2×fs。
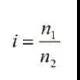
3.是通過要求的輸出轉速n2和輸入轉速n1,求出(一)傳動比,公式為。

4.確定減速機型號。
計算出扭矩Tc2和傳動比i之后,可從樣機目錄額定參數表中的傳動比i和額定扭矩Tn最接近計算值的減速機型號號中選取。但是,選定的減速器額定扭矩Tn必須大于計算用的Tc2扭矩,即Tn≥Tc2。
5.檢查減速器接口。
在選擇了減速器的型號之后,還要檢查其輸入、輸出和安裝部位的連接尺寸是否符合實際要求。若樣品中減速器接口與IEC電動機接口不能連接,請提供電動機的型號及廠家名稱。
- 上一篇:閉環步進電機和開環步進電機的不同
- 下一篇:步進電機越來越智能化,編碼器應怎么選?
產品推薦:兩相步進電機
產品推薦:無刷電機
產品推薦:兩相步進驅動器
產品推薦:直流無刷驅動器




























地址 ADDRESS